治疗舌炎、唇炎、脂溢性皮炎的维生素A.B.C.D.E.

作者: tihaiku 人气: - 评论: 0
问题 治疗舌炎、唇炎、脂溢性皮炎的维生素
选项

A.
B.
C.
D.
E.

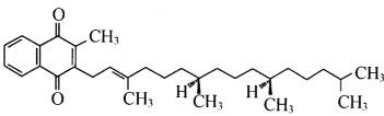
答案 D
解析 结构式A~E依次是维生素A、维生素B1、维生素K1、维生素B2、维生素B6。本组题考点是维生素的用途,按结构式提示一一对应。

猜你喜欢

发表评论
更多 网友评论0 条评论)
暂无评论

Copyright © 2012-2014 恰考网 Inc. 保留所有权利。 Powered by tikuer.com

页面耗时0.0325秒, 内存占用1.04 MB, Cache:redis,访问数据库19次