能和金属离子形成络合物的药物的化学结构有

作者: tihaiku 人气: - 评论: 0
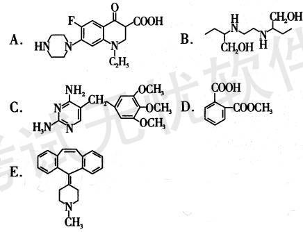
问题 能和金属离子形成络合物的药物的化学结构有
选项
答案 AB
解析 本题考查药物的化学结构、性质等。A结构为诺氟沙星,该结构中3,4位为羧基和酮羰基,极易和金属离子如钙、镁、铁、锌等形成螯合物形成络合物。B结构为乙胺丁醇,该结构中相邻的氧原子和氮原子均有孤对电子,也容易与金属离子螯合形成络合物。故本题选AB。

猜你喜欢

发表评论
更多 网友评论0 条评论)
暂无评论

Copyright © 2012-2014 恰考网 Inc. 保留所有权利。 Powered by tikuer.com

页面耗时0.0318秒, 内存占用1.04 MB, Cache:redis,访问数据库19次