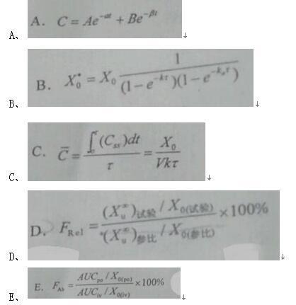
表示以尿中排泄药物计算相对生物利用度的公式是

作者: tihaiku 人气: - 评论: 0
问题 表示以尿中排泄药物计算相对生物利用度的公式是
选项
答案 D
解析 没记住公式时候的解题技巧:双室找+号选A;相对生物利用度找"参比"选D ,再根A和D推理得知C是浓度公式,E是生物利用度公式,排除法只剩下B、

猜你喜欢

发表评论
更多 网友评论0 条评论)
暂无评论

Copyright © 2012-2014 恰考网 Inc. 保留所有权利。 Powered by tikuer.com

页面耗时0.0292秒, 内存占用1.04 MB, Cache:redis,访问数据库19次