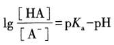
酸性药物在体液中的解离程度可用公式来计算。已知苯巴比妥的pKa约为7.4,在生理pH为7.4的情况下,其以分子形式存在的比例是A:30% B:40% ...

作者: tihaiku 人气: - 评论: 0
问题 酸性药物在体液中的解离程度可用公式

来计算。已知苯巴比妥的pKa约为7.4,在生理pH为7.4的情况下,其以分子形式存在的比例是
选项 A:30% B:40% C:50% D:75% E:90%
答案 C
解析 本题考查药物的解离度。酸性药物在体内的解离程度依据公式pKα-pH,带入已知条件可算出以分子形式存在的比例是50%,故本题答案应选C。

相关内容:酸性,药物,体液,解离,程度,公式,巴比,生理,分子,形式,比例

猜你喜欢

发表评论
更多 网友评论0 条评论)
暂无评论

Copyright © 2012-2014 恰考网 Inc. 保留所有权利。 Powered by tikuer.com

页面耗时0.0346秒, 内存占用1.04 MB, Cache:redis,访问数据库19次