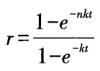
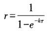
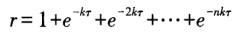
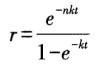
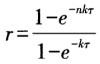
多剂量函数式是A: B: C: D: E:

作者: tihaiku 人气: - 评论: 0
问题 多剂量函数式是
选项 A: B: C: D: E:
答案 A
解析

相关内容:剂量

猜你喜欢

发表评论
更多 网友评论0 条评论)
暂无评论

Copyright © 2012-2014 恰考网 Inc. 保留所有权利。 Powered by tikuer.com

页面耗时0.0364秒, 内存占用1.04 MB, Cache:redis,访问数据库20次