维拉帕米的结构是A: B: C: D: E:

作者: tihaiku 人气: - 评论: 0
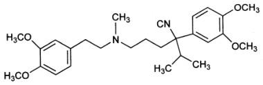
问题 维拉帕米的结构是
选项 A: B: C: D: E:
答案 B
解析 本题考查维拉帕米的化学结构。维拉帕米具有芳烷基胺结构特性,含氰基,右旋体比左旋体的作用强得多,现用外消旋体。A由于结构中含碘,为胺碘酮,C为利血平,D为普罗帕酮,E为氨力农,故本题答案应选B。

相关内容:拉帕,结构

猜你喜欢

发表评论
更多 网友评论0 条评论)
暂无评论

Copyright © 2012-2014 恰考网 Inc. 保留所有权利。 Powered by tikuer.com

页面耗时0.0390秒, 内存占用1.04 MB, Cache:redis,访问数据库20次