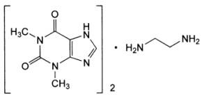
氨茶碱的化学结构为A: B: C: D: E:

作者: tihaiku 人气: - 评论: 0
问题 氨茶碱的化学结构为
选项 A: B: C: D: E:
答案 B
解析 考查氨茶碱的化学结构。A为茶碱,C为胆茶碱,D为二羟丙茶碱,E为多索茶碱。故本题答案应选B。

相关内容:茶碱,化学,结构

猜你喜欢

发表评论
更多 网友评论0 条评论)
暂无评论

Copyright © 2012-2014 恰考网 Inc. 保留所有权利。 Powered by tikuer.com

页面耗时0.0356秒, 内存占用1.04 MB, Cache:redis,访问数据库19次