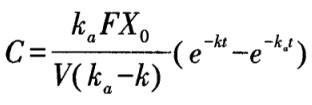
A.单室单剂量血管外给药c-t关系式B.单室单剂量静脉滴注给药c-t关系式C.单室单剂量静脉注射给药c-t关系式D.单室多剂量静脉注射给药c-t关系式E....

作者: tihaiku 人气: - 评论: 0
问题
选项

A.单室单剂量血管外给药c-t关系式
B.单室单剂量静脉滴注给药c-t关系式
C.单室单剂量静脉注射给药c-t关系式
D.单室多剂量静脉注射给药c-t关系式
E.多剂量函数

答案 A
解析

相关内容:单室单,剂量,血管,关系,静脉,单室多

猜你喜欢

发表评论
更多 网友评论0 条评论)
暂无评论

Copyright © 2012-2014 恰考网 Inc. 保留所有权利。 Powered by tikuer.com

页面耗时0.0300秒, 内存占用1.04 MB, Cache:redis,访问数据库19次