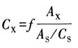
A.色谱内标法B.色谱外标法C.计算色谱峰拖尾因子D.计算容量因子E.理论板数计算色谱法中,以下公式分别用于

作者: tihaiku 人气: - 评论: 0
问题
选项

A.色谱内标法
B.色谱外标法
C.计算色谱峰拖尾因子
D.计算容量因子
E.理论板数计算
色谱法中,以下公式分别用于

答案 A
解析

相关内容:色谱,内标,外标,峰拖尾,因子,容量,理论,板数,法中,公式

猜你喜欢

发表评论
更多 网友评论0 条评论)
暂无评论

Copyright © 2012-2014 恰考网 Inc. 保留所有权利。 Powered by tikuer.com

页面耗时0.0330秒, 内存占用1.04 MB, Cache:redis,访问数据库18次