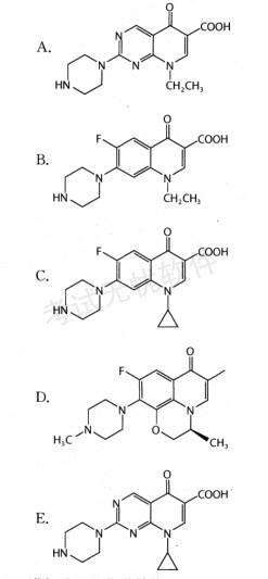
环丙沙星的化学结构是()

作者: tihaiku 人气: - 评论: 0
问题 环丙沙星的化学结构是()
选项
答案 C
解析 【精析】本组题考查诺氟沙星和环丙沙星的化学结构。诺氟沙星又名氟哌酸,6位有氟原子,7位为六元环,3位羧基和4位酮羰基;环丙沙星,别名环丙氟哌酸,1位环丙基,6位氟原子,7位六元环为其特征。 【避错】本题部分考生易选A、D两个选项,D为左氧氟沙星结构式,A为吡哌酸结构式。

猜你喜欢

发表评论
更多 网友评论0 条评论)
暂无评论

Copyright © 2012-2014 恰考网 Inc. 保留所有权利。 Powered by tikuer.com

页面耗时0.0295秒, 内存占用1.04 MB, Cache:redis,访问数据库18次