血管紧张素转化酶(ACE)抑制剂卡托普利的化学结构是

作者: tihaiku 人气: - 评论: 0
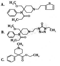
问题 血管紧张素转化酶(ACE)抑制剂卡托普利的化学结构是
选项
答案 D
解析 解析:本题考核卡托普利的立体结构。 首先排除A、B、C答案,因吡咯环上多一甲基,又因卡托普利为双S构型(环内及侧链的手性碳原子),根据其R,S命名则,E案为R,S构型,只有D答案为双S构型

相关内容:血管,抑制剂,卡托,普利,化学,结构

猜你喜欢

发表评论
更多 网友评论0 条评论)
暂无评论

Copyright © 2012-2014 恰考网 Inc. 保留所有权利。 Powered by tikuer.com

页面耗时0.0286秒, 内存占用1.03 MB, Cache:redis,访问数据库13次