下列巴比妥类药物结构中作用时间最短的是

作者: tihaiku 人气: - 评论: 0
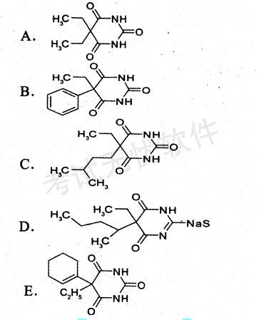
问题 下列巴比妥类药物结构中作用时间最短的是
选项
答案 D
解析 硫喷妥钠为异戊巴比妥2位氧原子以硫替换得到的药物,药物脂溶性增大,易通过血一脑屏障,作用快。但硫易被代谢,失效也快,为超短时作用的巴比妥类药物。

相关内容:巴比,妥类,药物,结构,作用,时间

猜你喜欢

发表评论
更多 网友评论0 条评论)
暂无评论

Copyright © 2012-2014 恰考网 Inc. 保留所有权利。 Powered by tikuer.com

页面耗时0.0305秒, 内存占用1.04 MB, Cache:redis,访问数据库19次