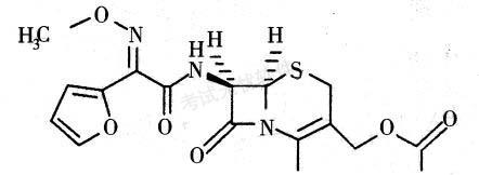
具有下列化学结构的药物是 A.头孢匹罗 B.头孢哌酮钠 C.头孢呋辛 D.头孢克肟钠 E.头孢曲松钠

作者: tihaiku 人气: - 评论: 0
问题 具有下列化学结构的药物是
选项 A.头孢匹罗 B.头孢哌酮钠 C.头孢呋辛 D.头孢克肟钠 E.头孢曲松钠
答案 C
解析 本题考查头孢类抗生素的结构特点。 头孢呋辛的C-7位氨基上连有顺式的甲氧肟基酰基侧链。故选C。

猜你喜欢

发表评论
更多 网友评论0 条评论)
暂无评论

Copyright © 2012-2014 恰考网 Inc. 保留所有权利。 Powered by tikuer.com

页面耗时0.0362秒, 内存占用1.03 MB, Cache:redis,访问数据库17次