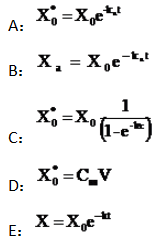
单室模型静脉注射给药,体内药量随时间变化关系式()。

作者: tihaiku 人气: - 评论: 0
问题 单室模型静脉注射给药,体内药量随时间变化关系式()。
选项
答案 E
解析 单室模型静脉注射给药,体内药量随时间变化关系式为

相关内容:单室,模型,体内,药量,时间,变化,关系

猜你喜欢

发表评论
更多 网友评论0 条评论)
暂无评论

Copyright © 2012-2014 恰考网 Inc. 保留所有权利。 Powered by tikuer.com

页面耗时0.0294秒, 内存占用1.05 MB, Cache:redis,访问数据库18次