单室模型静脉滴注和静脉注射联合用药,首剂量(负荷剂量)的计算公式( )。

作者: tihaiku 人气: - 评论: 0
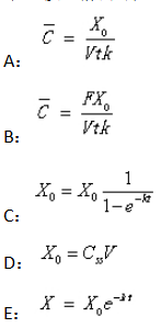
问题 单室模型静脉滴注和静脉注射联合用药,首剂量(负荷剂量)的计算公式( )。
选项
答案 D
解析 首剂量用X0来表示,所以在CD中选择,且药物固定后是一个固定的常数,C中有变量t不对,所以应选D。

相关内容:单室,模型,静脉,用药,剂量,负荷,公式

猜你喜欢

发表评论
更多 网友评论0 条评论)
暂无评论

Copyright © 2012-2014 恰考网 Inc. 保留所有权利。 Powered by tikuer.com

页面耗时0.0355秒, 内存占用1.05 MB, Cache:redis,访问数据库19次