金刚烷胺的化学结构为( )。

作者: tihaiku 人气: - 评论: 0
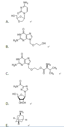
问题 金刚烷胺的化学结构为( )。
选项
答案 E
解析 此题考查的是抗病毒药的结构特征。可以根据药物分类进行判断,拉米夫定属于非开环核苷类,阿昔洛韦属于开环核苷类,利巴韦林和金刚烷胺都属于非核苷类。利巴韦林结构中含有三氮唑,金刚烷胺结构中含有的是三环状胺。C的结构是伐昔洛韦。

相关内容:金刚,烷胺,化学,结构

猜你喜欢

发表评论
更多 网友评论0 条评论)
暂无评论

Copyright © 2012-2014 恰考网 Inc. 保留所有权利。 Powered by tikuer.com

页面耗时0.0323秒, 内存占用1.04 MB, Cache:redis,访问数据库19次