某临床试验机构进行罗红霉素片仿制药的生物等效性评价试验,单剂量(250mg)给药经24名健康志愿者试验,测得主要药动学参数如下表所示。 经统...

作者: tihaiku 人气: - 评论: 0
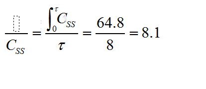
问题 某临床试验机构进行罗红霉素片仿制药的生物等效性评价试验,单剂量(250mg)给药经24名健康志愿者试验,测得主要药动学参数如下表所示。 经统计学处理,供试制剂的相对生物利用度为105.9%;供试制剂与参比制剂的Cmax和AUCO-0o几何均值比的90%置信区间分别在82%~124%和93%~115%范围内。 根据上述信息,如果某患者连续口服参比制剂罗红霉素片,每天3次(每8h一次),每次250mg,用药多天达到稳态后每个时间间隔(8h)的AUC0-∞为64.8mg.h/L,该药的平均稳态血药浓度为
选项 A. 2.7 mg/L B.8.1 mg/L C.3.86mg/ D.11.6mg/L E.44.9mg/L
答案 B
解析 平均稳态血药浓度是一个重复给药情况下非常有用的参数,它的定义是重复给药达稳态后,在一个给药间隔时间内血药浓度-时间曲线下的面积除以给药间隔

相关内容:机构,红霉素,片仿,制药,生物,试验,单剂量,剂量,志愿者,药动,参数,经统

猜你喜欢

发表评论
更多 网友评论0 条评论)
暂无评论

Copyright © 2012-2014 恰考网 Inc. 保留所有权利。 Powered by tikuer.com

页面耗时0.0647秒, 内存占用1.04 MB, Cache:redis,访问数据库20次