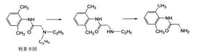
A.O-脱烷基化 B.N-脱烷基化 C.C-氧化 D.C-环氧化 E.S-氧化

作者: tihaiku 人气: - 评论: 0
问题
选项 A.O-脱烷基化 B.N-脱烷基化 C.C-氧化 D.C-环氧化 E.S-氧化
答案 B
解析 p45 有例子;第一相生物转化作用的——胺类药物的代谢。

猜你喜欢

发表评论
更多 网友评论0 条评论)
暂无评论

Copyright © 2012-2014 恰考网 Inc. 保留所有权利。 Powered by tikuer.com

页面耗时0.0303秒, 内存占用1.04 MB, Cache:redis,访问数据库19次