单室模型静脉滴注给药过程中,血药浓度与时间的计算公式是

作者: tihaiku 人气: - 评论: 0
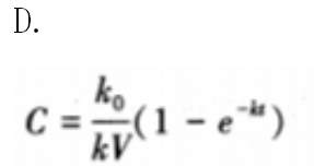
问题 单室模型静脉滴注给药过程中,血药浓度与时间的计算公式是
选项
答案 D
解析

相关内容:单室,模型,静脉,血药,浓度,公式

猜你喜欢

发表评论
更多 网友评论0 条评论)
暂无评论

Copyright © 2012-2014 恰考网 Inc. 保留所有权利。 Powered by tikuer.com

页面耗时0.0319秒, 内存占用1.04 MB, Cache:redis,访问数据库16次