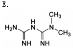
含双胍类结构母核,属于胰岛素增敏剂的口服降糖药物是

作者: tihaiku 人气: - 评论: 0
问题 含双胍类结构母核,属于胰岛素增敏剂的口服降糖药物是
选项
答案 E
解析

相关内容:含双,胍类,结构,母核,胰岛素,增敏剂,口服,药物

猜你喜欢

发表评论
更多 网友评论0 条评论)
暂无评论

Copyright © 2012-2014 恰考网 Inc. 保留所有权利。 Powered by tikuer.com

页面耗时0.0316秒, 内存占用1.04 MB, Cache:redis,访问数据库19次