给某患者静脉注射一单室模型药物,剂量1050mg,测得不同时刻血药浓度数据如下: 该药的半衰期为A.0.55h B.1.11h C.2.22h...

作者: tihaiku 人气: - 评论: 0
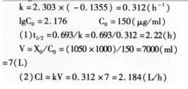
问题 给某患者静脉注射一单室模型药物,剂量1050mg,测得不同时刻血药浓度数据如下: 该药的半衰期为
选项 A.0.55h B.1.11h C.2.22h D.2.28h E.4.44h
答案 C
解析 先将血药浓度C取对数,再与时间t作线性回归,计算得斜率b=-0.1355,截距a=2.176所以回归方程为:lgC=-0.1355t+2.176;参数计算如下:

相关内容:患者,一单室,模型,药物,剂量,1050mg,时刻,血药,浓度,数据,如下,半衰期,A.0.55h,B.1.11h,C.2.22h...

猜你喜欢

发表评论
更多 网友评论0 条评论)
暂无评论

Copyright © 2012-2014 恰考网 Inc. 保留所有权利。 Powered by tikuer.com

页面耗时0.0261秒, 内存占用1.04 MB, Cache:redis,访问数据库17次