单室模型血管外给药的血药浓度公式是

作者: tihaiku 人气: - 评论: 0
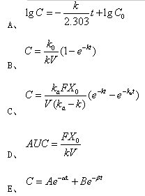
问题 单室模型血管外给药的血药浓度公式是
选项
答案 C
解析 A是单室模型静脉注射给药血药浓度公式,B是单室模型静脉滴注给药血药浓度公式,D是单室模型血管外给药血药浓度-时间曲线下面积公式,E是双室模型静脉注射血药浓度公式。

相关内容:单室,模型,血管,血药,浓度,公式

发表评论
更多 网友评论0 条评论)
暂无评论

Copyright © 2012-2014 恰考网 Inc. 保留所有权利。 Powered by tikuer.com

页面耗时0.0232秒, 内存占用1.04 MB, Cache:redis,访问数据库14次