基本骨架为黄嘌呤环,与咖啡因结构类似的磷酸二酯酶抑制剂类平喘药物是

作者: tihaiku 人气: - 评论: 0
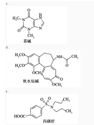
问题 基本骨架为黄嘌呤环,与咖啡因结构类似的磷酸二酯酶抑制剂类平喘药物是
选项
答案 C
解析 本组题考查的是几种重点药物的骨架和作用特点。拉贝洛尔具苯乙醇结构骨架,非典型的β受体拮抗剂,对心率变化影响小;罗沙替丁乙酸酯具哌啶甲苯环骨架,H2受体拮抗剂抗溃疡药物;茶碱具黄嘌呤基本骨架,与咖啡因结构类似的磷酸二酯酶抑制剂类平喘药物;秋水仙碱属于控制尿酸盐对关节造成炎症的抗痛风药物;丙磺舒属于促进尿酸排泄的抗痛风药物。

猜你喜欢

发表评论
更多 网友评论0 条评论)
暂无评论

Copyright © 2012-2014 恰考网 Inc. 保留所有权利。 Powered by tikuer.com

页面耗时0.0322秒, 内存占用1.04 MB, Cache:redis,访问数据库19次