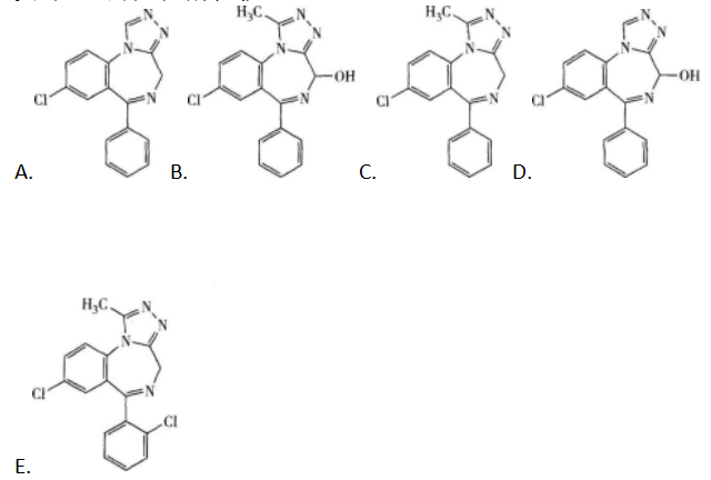
艾司唑仑的化学结构式是

作者: tihaiku 人气: - 评论: 0
问题 艾司唑仑的化学结构式是
选项
答案 A
解析 本题考查艾司唑仑的化学结构式。艾司唑仑又名舒乐安定,这类苯并二氮革类镇静催眠药的特点是在苯二氮草环1,2位上并合三唑环,从而增加该类药物对代谢的稳定性,并提高其与受体的亲和力。类似的有阿普唑仑(C)、三唑仑(E),B、D为其代谢产物。故本题答案应选A。

猜你喜欢

发表评论
更多 网友评论0 条评论)
暂无评论

Copyright © 2012-2014 恰考网 Inc. 保留所有权利。 Powered by tikuer.com

页面耗时0.0668秒, 内存占用1.04 MB, Cache:redis,访问数据库20次