单室模型血管外给药血药浓度随时间变化的公式是

作者: tihaiku 人气: - 评论: 0
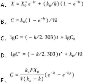
问题 单室模型血管外给药血药浓度随时间变化的公式是
选项
答案 E
解析 本组题考查单室模型的药动学方程。单室静脉注射的药动学方

相关内容:单室,模型,血管,血药,浓度,时间,变化,公式

猜你喜欢

发表评论
更多 网友评论0 条评论)
暂无评论

Copyright © 2012-2014 恰考网 Inc. 保留所有权利。 Powered by tikuer.com

页面耗时0.0287秒, 内存占用1.04 MB, Cache:redis,访问数据库19次