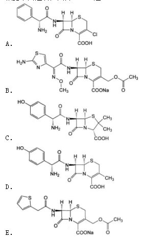
头孢克洛的化学结构是

作者: tihaiku 人气: - 评论: 0
问题 头孢克洛的化学结构是
选项
答案 A
解析 本组题考查β-内酰胺类抗生素的结构。E为头孢噻吩钠。故本题答案应选A。

相关内容:头孢,克洛,化学,结构

猜你喜欢

发表评论
更多 网友评论0 条评论)
暂无评论

Copyright © 2012-2014 恰考网 Inc. 保留所有权利。 Powered by tikuer.com

页面耗时0.0302秒, 内存占用1.04 MB, Cache:redis,访问数据库18次