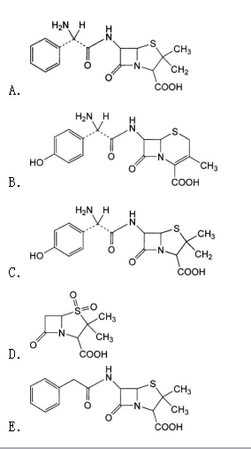
头孢羟氨苄的化学结构为

作者: tihaiku 人气: - 评论: 0
问题 头孢羟氨苄的化学结构为
选项
答案 B
解析

相关内容:头孢,羟氨,化学,结构

猜你喜欢

发表评论
更多 网友评论0 条评论)
暂无评论

Copyright © 2012-2014 恰考网 Inc. 保留所有权利。 Powered by tikuer.com

页面耗时0.1047秒, 内存占用1.03 MB, Cache:redis,访问数据库13次