含双胍类结构母核,属于胰岛素增敏剂的口服降血糖药物是

作者: tihaiku 人气: - 评论: 0
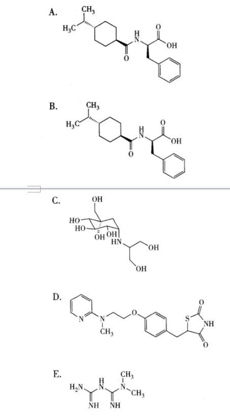
问题 含双胍类结构母核,属于胰岛素增敏剂的口服降血糖药物是
选项
答案 E
解析 本组题考查以上抗肿瘤药物的作用机制。伊马替尼为酪氨酸激酶抑制剂;他莫昔芬为雌激素受体调节剂;氟他胺为非甾体类抗雄激素药物;氨鲁米特、来曲唑和阿那曲唑为芳构酶抑制剂;紫杉醇属有丝分裂抑制剂或纺锤体毒素。

猜你喜欢

发表评论
更多 网友评论0 条评论)
暂无评论

Copyright © 2012-2014 恰考网 Inc. 保留所有权利。 Powered by tikuer.com

页面耗时0.0347秒, 内存占用1.04 MB, Cache:redis,访问数据库20次