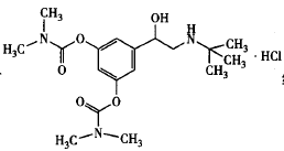
具有结构的药物属于()A.镇痛药 B.平喘药 C.麻醉药 D.镇静药 E.催眠药

作者: tihaiku 人气: - 评论: 0
问题 具有

结构的药物属于()
选项 A.镇痛药 B.平喘药 C.麻醉药 D.镇静药 E.催眠药
答案 B
解析 该结构是盐酸班布特罗的结构。将异丙肾上腺素的分子中的邻二羟基改为间二羟基得到硫酸特布他林,对气管β2受体选择性较高,对心脏β1受体的作用仅为异丙肾上腺素的1/100,且不易被COMT、MAO或硫酸酯酶代谢,化学稳定提高,可口服,作用持久。将特布他林苯环上两个酚羟基酯化制成的双二甲氨基甲酸酯前药为盐酸班布特罗,吸收后在体内经肝脏代谢成为有活性的特布他林而发挥作用。

猜你喜欢

发表评论
更多 网友评论0 条评论)
暂无评论

Copyright © 2012-2014 恰考网 Inc. 保留所有权利。 Powered by tikuer.com

页面耗时0.0359秒, 内存占用1.04 MB, Cache:redis,访问数据库19次