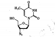
化学结构如下的药物,主要临床用途为() A.治疗艾滋病 B.治疗上呼吸道病毒感染 C.治疗疱疹病毒性角膜炎 D.治疗深部真菌感染 E.治疗滴虫性阴道炎

作者: tihaiku 人气: - 评论: 0
问题 化学结构如下的药物,主要临床用途为()

选项 A.治疗艾滋病 B.治疗上呼吸道病毒感染 C.治疗疱疹病毒性角膜炎 D.治疗深部真菌感染 E.治疗滴虫性阴道炎
答案 A
解析 题中所给结构为抗病毒药齐多夫定的化学结构。齐多夫定为脱氧胸腺嘧啶核苷的类似物,对能引起艾滋病病毒和T细胞白血病的RNA肿瘤病毒有抑制作用,为抗逆转录酶病毒药物。

猜你喜欢

发表评论
更多 网友评论0 条评论)
暂无评论

Copyright © 2012-2014 恰考网 Inc. 保留所有权利。 Powered by tikuer.com

页面耗时0.0291秒, 内存占用1.04 MB, Cache:redis,访问数据库20次