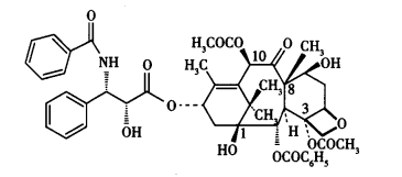
紫杉醇是从美国西海岸的短叶红豆杉的树皮中提取得到的具有紫杉烯环结构的二萜类化合物,属有丝分裂抑制剂或纺锤体毒素。多西他赛是由10-去酰基浆果赤霉素进行半合...

作者: tihaiku 人气: - 评论: 0
问题 紫杉醇是从美国西海岸的短叶红豆杉的树皮中提取得到的具有紫杉烯环结构的二萜类化合物,属有丝分裂抑制剂或纺锤体毒素。多西他赛是由10-去酰基浆果赤霉素进行半合成得到的紫杉烷类抗肿瘤药,结构上与紫杉醇有两点不同,一是第10位碳上的取代基,二是位上的侧链。多西他赛的水溶性比紫杉醇好,毒性较小,抗肿瘤谱更广。

按药物来源分类,多西他赛属于()
选项 A.天然药物 B.半合成天然药物 C.合成药物 D.生物药物 E.半合成抗生素
答案 B
解析 来源于天然产物的药物是指从天然产物中提取得到的有效单体、通过发酵方法得到的抗生素以及半合成得到的天然药物和半合成抗生素。这些药物中,有些是直接从天然的植物,如草、叶、根、茎、皮等中提取得到的天然活性物质;有的是通过生物发酵得到的抗生素;但有很大一部分是以天然活性物质或抗生素为原料通过化学半合成或生物合成的方法得到的半合成天然药物或半合成抗生素。多西他赛属于半合成天然药物。

相关内容:紫杉,美国,西海,短叶,红豆杉,树皮,烯环,结构,二萜类,化合物,抑制剂,纺锤,毒素,多西,他赛,是由,去酰,浆果,赤霉素

猜你喜欢

发表评论
更多 网友评论0 条评论)
暂无评论

Copyright © 2012-2014 恰考网 Inc. 保留所有权利。 Powered by tikuer.com

页面耗时0.0290秒, 内存占用1.05 MB, Cache:redis,访问数据库19次