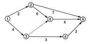
已知某工程的双代号网络计划如图所示,下列说法正确的有()。A:该计划的工期为12天 B:工作④一⑥最早开始时间为4天 C:关键线路为①一③一⑤一⑥ ...

作者: tihaiku 人气: - 评论: 0
问题 已知某工程的双代号网络计划如图所示,下列说法正确的有()。
选项 A:该计划的工期为12天 B:工作④一⑥最早开始时间为4天 C:关键线路为①一③一⑤一⑥ D:工作②一⑥为非关键工作 E:关键线路为①一②一④一⑥
答案 ADE
解析 A项,关键线路的长度即为该计划的工期,即2+6+4=12(天);B项,工作④一⑥最早开始时间为②一④工作和①一③工作最早完成时间的最大值,即8天;CE两项,该双代号网络计划中,关键线路为①—②一④一⑥。D项,工作2-6不在关键线路上,因此为非关键工作。

相关内容:工程,代号,网络,计划,如图,说法,工期,工作,时间,关键,线路

猜你喜欢

发表评论
更多 网友评论0 条评论)
暂无评论

访问排行

Copyright © 2012-2014 恰考网 Inc. 保留所有权利。 Powered by tikuer.com

页面耗时0.0418秒, 内存占用1.05 MB, Cache:redis,访问数据库20次