被评估资产为某一服装品牌的特许经营权。根据许可方与被许可方所签订的合同,在评估基准日,该品牌的尚可使用年限为4年;根据以往的经营数据和市场对该品牌的认可程...

作者: tihaiku 人气: - 评论: 0
问题 被评估资产为某一服装品牌的特许经营权。根据许可方与被许可方所签订的合同,在评估基准日,该品牌的尚可使用年限为4年;根据以往的经营数据和市场对该品牌的认可程度,预计未来年收益将会维持在250万元。折现率假定为8%。则该品牌的恃许经营权价值为()万元
选项 A.896.88 B.828.03 C.856.25 D.886.24
答案 B
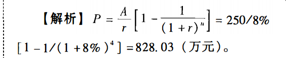
解析

相关内容:评估,资产,服装,品牌,经营权,根据,方所,合同,基准,年限,经营,数据,市场,认可

猜你喜欢

发表评论
更多 网友评论0 条评论)
暂无评论

访问排行

Copyright © 2012-2014 恰考网 Inc. 保留所有权利。 Powered by tikuer.com

页面耗时0.0405秒, 内存占用1.03 MB, Cache:redis,访问数据库14次