甲公司持有A、B、C三种股票,在由上述股票组成的证券投资组合中,各股票所占 的比重分别为50%、30%和20%,其(3系数分别为2.0、1.0和0.5。市...

作者: rantiku 人气: - 评论: 0
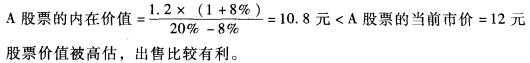
问题 甲公司持有A、B、C三种股票,在由上述股票组成的证券投资组合中,各股票所占 的比重分别为50%、30%和20%,其(3系数分别为2.0、1.0和0.5。市场平均收益率为 15%,无风险收益率为10%。A股票当前每股市价为12元,刚收到上一年度派发的每股 1. 2元的现金股利,预计股利以后每年增长8%。 要求: (1)计算以下指标: ①甲公司证券组合的β系数; ②甲公司证券组合的风险收益率; ③甲公司证券组合的必要收益率; ④投资A股票的必要收益率。 (2)利用股利增长模型分析当前出售A股票是否对甲公司有利。
选项
答案
解析 (1)计算以下指标: ①甲公司证券组合的β系数=50% x2 +30% xl +20% x0. 5=1.4 ②甲公司证券组合的风险收益率= 1.4 x (15% -10%) =7% ③甲公司证券组合的必要收益率= 10% +1.4 X (15% -10%) :17% ④投资A股票的必要收益率=10% +2 X (15% -10%) =20% (2)利用股利增长模型分析当前出售A股票是否对甲公司有利

猜你喜欢

发表评论
更多 网友评论0 条评论)
暂无评论

访问排行

Copyright © 2012-2014 恰考网 Inc. 保留所有权利。 Powered by tikuer.com

页面耗时0.0370秒, 内存占用1.03 MB, Cache:redis,访问数据库17次