A公司2016-2018年处于高速增长期,2019年起经营处于稳定增长阶段,公司具有稳定的财务柱杆比率。2016年的每股收益为5元,股利支付率为40%不变...

作者: tihaiku 人气: - 评论: 0
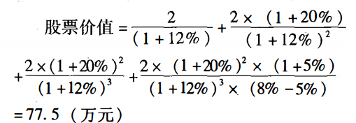
问题 A公司2016-2018年处于高速增长期,2019年起经营处于稳定增长阶段,公司具有稳定的财务柱杆比率。2016年的每股收益为5元,股利支付率为40%不变,股利和每股收益以每年20%的速度,稳定期则以5%的速度永续增长;高速增长期的必要报酬率为129,稳定增长期的必要报酬率为8%。用股利增长模型计算A公司2015年年末的股票的每股价值为(  )元
选项 A.67.25 B.77.5 C.73.39 D.80.6
答案 B
解析 每股股利DPSo=每股收益x股利支付率=5x4ο%=2(元)

相关内容:公司,2016-2018年,高速,增长期,年起,经营,阶段,财务,柱杆,比率,收益,股利,支付率

猜你喜欢

发表评论
更多 网友评论0 条评论)
暂无评论

访问排行

Copyright © 2012-2014 恰考网 Inc. 保留所有权利。 Powered by tikuer.com

页面耗时0.0632秒, 内存占用1.05 MB, Cache:redis,访问数据库20次