A公司2016年的每股收益为1.65元,股利支付率为359,收益和股利的增长率预计为5%。该公司的自值为1.2,市场风险溢价为7%,无风险报酬率为3%,则...

作者: tihaiku 人气: - 评论: 0
问题 A公司2016年的每股收益为1.65元,股利支付率为359,收益和股利的增长率预计为5%。该公司的自值为1.2,市场风险溢价为7%,无风险报酬率为3%,则该公司的P/E值为(  )。
选项 A.5.12 B.5.74 C.6.19 D.6.94
答案 B
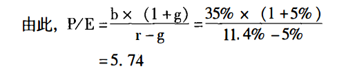
解析 当前的股利支付率b=359;预期公司收益和股利的增长率g=5%j股权资本成本r=3%+1.2x7%=11.4%。

相关内容:公司,收益,1.65元,股利,支付率,增长率,自值,市场,风险,溢价,报酬率

猜你喜欢

发表评论
更多 网友评论0 条评论)
暂无评论

访问排行

Copyright © 2012-2014 恰考网 Inc. 保留所有权利。 Powered by tikuer.com

页面耗时0.0635秒, 内存占用1.03 MB, Cache:redis,访问数据库13次