某三相异步电动机铭牌如下所示: 问题: 1.对4kW、50Hz、380V、8.8A、△、1440r/min、80℃等数据、符号的含义做出解释。 ...

作者: tihaiku 人气: - 评论: 0
问题

某三相异步电动机铭牌如下所示:

问题:

1.对4kW、50Hz、380V、8.8A、△、1440r/min、80℃等数据、符号的含义做出解释。

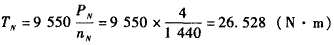
2.求该电动机的最大转矩。

选项

1.4kW--额定功率,即在额定情况下,电动机轴上输出的机械功率。

50Hz--额定频率,即我国规定标准工业用电的频率。

380V--额定电压,即电动机在额定运行情况下。外加定子绕组上的线电压。

8.8A--额定电流,即电动机在额定电压下,轴端有额定功率输出时,定子绕组的线电流。△--表示定子绕组的接法为三角形接法。

1440r/min--额定转速,即电动机额定运行时的转速。

80℃--允许温升,即电动机的温度与周围环境温度相比升高的限度。

2.

答案
解析

相关内容:异步电动机,铭牌,如下,问题,数据,含义

猜你喜欢

发表评论
更多 网友评论0 条评论)
暂无评论

访问排行

Copyright © 2012-2014 恰考网 Inc. 保留所有权利。 Powered by tikuer.com

页面耗时0.0460秒, 内存占用1.05 MB, Cache:redis,访问数据库20次