某村集体拟出让一块面积为5公顷的采伐迹地,根据立地条件可营造杉木,经营目标定为一般杉木小径材,其主伐年龄为21年,该地区一般杉木小径材的标准参照林分主伐时...

作者: tihaiku 人气: - 评论: 0
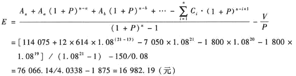
问题 某村集体拟出让一块面积为5公顷的采伐迹地,根据立地条件可营造杉木,经营目标定为一般杉木小径材,其主伐年龄为21年,该地区一般杉木小径材的标准参照林分主伐时的平均蓄积为225立方米/公顷,林龄13年进行间伐,间伐时生产综合材12立方米/公顷。有关技术经济指标如下所示,请计算该林地资产评估值。   (1)营林生产成本。第一年,造林、抚育费7 050元/公顷;第二年,抚育费1 800元/公顷;第三年,抚育费1 800元/公顷。从第一年起每年均摊管护费用为150元/公顷。   (2)木材销售价格:杉原木1 150元/立方米;杉综合材:主伐木1 000元/立方米,间伐木950元/立方米。   (3)木材经营成本。   ①伐区设计费:主伐按蓄积7元/立方米,间伐按出材量20元/立方米。   ②检尺费:按出材量9元/立方米。   ③直接采伐成本:按出材量计,主伐180元/立方米,间伐200元/立方米。   ④短途运输成本:按出材量计,20元/立方米。   ⑤销售费用:销售价的1%。   ⑥管理费:销售价的3%。   ⑦不可预见费:销售价的2%。   (4)税费。根据当地政策,经营期限一个龄级以上,采伐时免收增值税。   (5)木材生产经营利润:直接木材生产成本的15%。   (6)投资收益率:8%。   (7)出材率:杉原木出材率为20%,杉综合出材率为50%。   (8)主伐年龄:一般杉木小径材主伐年龄为21年。   【要求】应用林地期望价法评估该林地资产评估值
选项
答案
解析 主伐时蓄积量M=225(立方米/公顷)   主伐时杉原木净收益A1=W1-C1-F1   =1 150-7÷0.2-9-180-20-1 150×(1%+3%+2%)-180×15%   =810(元/立方米)   主伐时杉综合材净收益A2=W2-C2-F2   =1 000-7÷0.5-9-180-20-1 000×(1%+3%+2%)-180×15%   =690(元/立方米)   间伐时杉综合材净收益Aa=Wa-Ca-Fa   =950-20-9-200-20-950×(1%+3%+2%)-200×15%   =614(元/立方米)   主伐净收益Au=M?(f1?A1+f2?A2)=225×(0.2×810+0.5×690)   =114 075(元/公顷)   间伐收益=12×614=7368(元/公顷) 由此可计算每公顷林地评估值 该小班林地使用权(无限期)评估值为5×16 982.19=84 910.95元。

相关内容:集体,一块,面积,5公顷,采伐,迹地,根据,条件,杉木,经营,目标,小径,年龄,地区,标准

猜你喜欢

发表评论
更多 网友评论0 条评论)
暂无评论

访问排行

Copyright © 2012-2014 恰考网 Inc. 保留所有权利。 Powered by tikuer.com

页面耗时0.0548秒, 内存占用1.05 MB, Cache:redis,访问数据库19次