某公司拟发行债券,总面值为900万元,票面利率为10%,偿还期限为10年,发行费率为5%,所得税税率为25%,该债券发行价为1200万元。不考虑货币的时间...

作者: tihaiku 人气: - 评论: 0
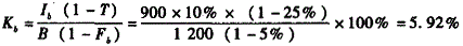
问题 某公司拟发行债券,总面值为900万元,票面利率为10%,偿还期限为10年,发行费率为5%,所得税税率为25%,该债券发行价为1200万元。不考虑货币的时间价值,则该债券的资本成本为( )。
选项 A:5.92% B:7.73% C:7.89% D:6.45%
答案 A
解析 该债券的资本成本为:。式中,Kb为债券资本成本;Ib为债券年利息;T为所得税税率;β为债券筹资额;Fb为债券筹资费用率。

相关内容:公司,债券,面值,900万元,票面,利率,期限,费率,所得税,税率,发行价,1200万元,货币,时间

猜你喜欢

发表评论
更多 网友评论0 条评论)
暂无评论

访问排行

Copyright © 2012-2014 恰考网 Inc. 保留所有权利。 Powered by tikuer.com

页面耗时0.0309秒, 内存占用1.05 MB, Cache:redis,访问数据库20次