某一次还本付息债券的票面额为5000元,票面利率10%,必要收益率为12%,期限为5年,如果按复利计息,复利贴现,其内在价值为()元。 A.4255.7...

作者: tihaiku 人气: - 评论: 0
问题 某一次还本付息债券的票面额为5000元,票面利率10%,必要收益率为12%,期限为5年,如果按复利计息,复利贴现,其内在价值为()元。 A.4255.70 B.4539.40 C.4571.51 D.4687.50
选项
答案 C
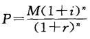
解析 如果一次还本付息债券按复利计息、按复利贴现,其内在价值决定公式为: 。 式中:P——债券的内在价值;M——票面价值;i——每期利率;n——剩余时期数;r——必要收益率。代入本题数据,可得C选项正确。

相关内容:债券,面额,5000元,票面,利率,收益率,期限,复利,贴现,内在,价值,A.4255.7...

猜你喜欢

发表评论
更多 网友评论0 条评论)
暂无评论

Copyright © 2012-2014 恰考网 Inc. 保留所有权利。 Powered by tikuer.com

页面耗时0.0350秒, 内存占用1.04 MB, Cache:redis,访问数据库19次