假设银行系统:(1)原始存款为900万元;(2)法定存款准备金率为6%;(3)现金漏损率为 15%;(4)超额准备率为3%。此时银行系统的派生存款总额为(...

作者: tihaiku 人气: - 评论: 0
问题 假设银行系统:(1)原始存款为900万元;(2)法定存款准备金率为6%;(3)现金漏损率为 15%;(4)超额准备率为3%。此时银行系统的派生存款总额为( )万元。 A.3750 B.4286 C.5000 D.10000
选项
答案 A
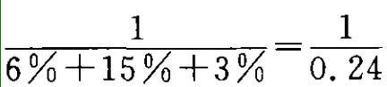
解析 存款乘数==,派生存款总额为

相关内容:假设,银行,系统,存款,900万元,存款准备金率,现金,漏损率,准备率,总额

猜你喜欢

发表评论
更多 网友评论0 条评论)
暂无评论

Copyright © 2012-2014 恰考网 Inc. 保留所有权利。 Powered by tikuer.com

页面耗时0.0401秒, 内存占用1.03 MB, Cache:redis,访问数据库16次