一般来说,免税债券的到期收益率比类似的应纳税债券的到期收益率( )。 A.高 B.低 C. 一样 D.都不是

作者: tihaiku 人气: - 评论: 0
问题 一般来说,免税债券的到期收益率比类似的应纳税债券的到期收益率( )。 A.高 B.低 C. 一样 D.都不是
选项
答案 A
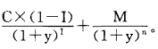
解析 一般来说,免税债券的到期收益率比类似的应纳税债券的到期收益率高。免税债券的基本公式是:而应纳税债券的基本公式是可代入数据计算,当P、C、M相同时,则有r〉y。

相关内容:债券,到期,收益率,比类,不是

猜你喜欢

发表评论
更多 网友评论0 条评论)
暂无评论

Copyright © 2012-2014 恰考网 Inc. 保留所有权利。 Powered by tikuer.com

页面耗时0.0375秒, 内存占用1.04 MB, Cache:redis,访问数据库18次