有一笔国债,5年期,溢价20%发行,票面利率10%,单利计息,到期一次还本付清,其到期收益率是()。A.4.69% B.4.23% C.5.23% ...

作者: tihaiku 人气: - 评论: 0
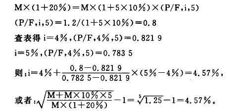
问题 有一笔国债,5年期,溢价20%发行,票面利率10%,单利计息,到期一次还本付清,其到期收益率是()。
选项 A.4.69% B.4.23% C.5.23% D.4.57%
答案 D
解析 债券的收益率是指债券的本金和利息流入的现值等于其购买价格时的貼现率。由于在本题中属于溢价购买,所以,购买价格等于其面值(1+20%)。计算收益率是求解含有贴现率的方程,即: 现金流出的现值=现金流入的现值。 假设面值为M,收益率为i,则有:

相关内容:国债,5年期,溢价,票面,利率,单利,到期,收益率,A.4.69%,B.4.23%,C.5.23%

猜你喜欢

发表评论
更多 网友评论0 条评论)
暂无评论

Copyright © 2012-2014 恰考网 Inc. 保留所有权利。 Powered by tikuer.com

页面耗时0.0243秒, 内存占用1.04 MB, Cache:redis,访问数据库16次