已知某基础工程由开挖、垫层、砌基础和回填夯实四个过程组成,按平面划分为四段顺序施工,各过程流水节拍分别为12天、4天、10天和6天,按非节奏组织流水施工的...

作者: rantiku 人气: - 评论: 0
问题 已知某基础工程由开挖、垫层、砌基础和回填夯实四个过程组成,按平面划分为四段顺序施工,各过程流水节拍分别为12天、4天、10天和6天,按非节奏组织流水施工的工期为()天。
选项 A:38 B:40 C:56 D:128
答案 A
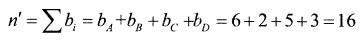
解析 该基础工程分为四个施工过程,其流水节拍分别为12d、4d、10d和6d。节拍均为2的整数倍,因此,四个施工过程组成加快成倍节拍流水,计算步骤如下:确定流水步距:Kb=2b。确定专业工作对数bA=tA/Kb=12/2=6;bB=tB/Kb=4/2=2;bC=tC/Kb=10/2=5;bD=tD/Kb=6/2=3。施工班组总数为: ③该工程工期为:

猜你喜欢

发表评论
更多 网友评论0 条评论)
暂无评论

访问排行

Copyright © 2012-2014 恰考网 Inc. 保留所有权利。 Powered by tikuer.com

页面耗时0.0358秒, 内存占用1.03 MB, Cache:redis,访问数据库19次