已知一设备,其原始费用为1000元,使用费用第一年为300元,以后每年增加100元,假设不论使用多久,其残值都是零,不计算利息,其经济寿命为(  )年。A...

作者: rantiku 人气: - 评论: 0
问题 已知一设备,其原始费用为1000元,使用费用第一年为300元,以后每年增加100元,假设不论使用多久,其残值都是零,不计算利息,其经济寿命为(  )年。
选项 A.3.16 B.3.46 C.3.72 D.4.47
答案 A
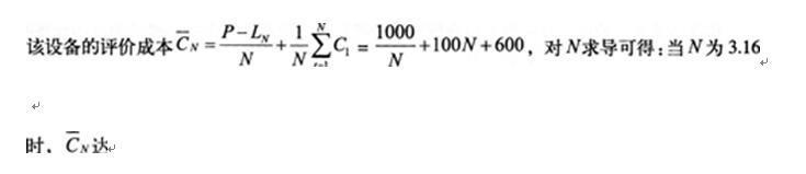
解析

猜你喜欢

发表评论
更多 网友评论0 条评论)
暂无评论

访问排行

Copyright © 2012-2014 恰考网 Inc. 保留所有权利。 Powered by tikuer.com

页面耗时0.0332秒, 内存占用1.03 MB, Cache:redis,访问数据库20次