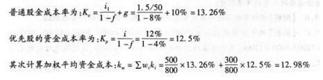
某企业为筹集资金,发行500万元普通股股票,每股正常市价为50元,预计第一年每股发放股利1.5元,估计股利年增长率10%,筹资费率为8%;发行300万元优...

作者: rantiku 人气: - 评论: 0
问题 某企业为筹集资金,发行500万元普通股股票,每股正常市价为50元,预计第一年每股发放股利1.5元,估计股利年增长率10%,筹资费率为8%;发行300万元优先股,筹资费率4%,年股息率12%,则此次筹资的加权平均资金成本率为(  )。
选项 A.10.96% B.12.38% C.12.79% D.12 98%
答案 D
解析 首先需要分别计算各种筹资方式的资金成本

猜你喜欢

发表评论
更多 网友评论0 条评论)
暂无评论

访问排行

Copyright © 2012-2014 恰考网 Inc. 保留所有权利。 Powered by tikuer.com

页面耗时0.0708秒, 内存占用1.03 MB, Cache:redis,访问数据库18次