某工程投资中,设备、建筑安装和工程建设其他费用分别为600万元、1000万元和400万元,基本预备费率为10%。投资建设期2年,项目建设前期年限为1年,各...

作者: rantiku 人气: - 评论: 0
问题 某工程投资中,设备、建筑安装和工程建设其他费用分别为600万元、1000万元和400万元,基本预备费率为10%。投资建设期2年,项目建设前期年限为1年,各年投资额相等。预计年均投资价格上涨5%,则该工程项目建设期间的涨价预备费为()万元。
选项 A:152.53 B:162.28 C:226.22 D:252.56
答案 C
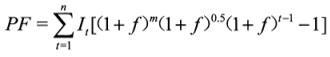
解析 价差预备费一般根据国家规定的投资综合价格指数,以估算年份价格水平的投资额为基数,采用复利方法计算。计算公式为: 基本预备费=(600+1000+400)*10%=200(万元);静态投资=600+1000+400+200=2200(万元);建设期第一年完成投资=2200*50%=1100(万元);第一年价差预备费PF1=1100*[(1+5%)(1+5%)0.5-1]=83.52(万元);第二年完成投资=2200*50%=1100(万元);第二年价差预备费PF2=1100*[(1+5%)(1+5%)0.5(1+5%)-1]=142.70(万元);所以,建设期的价差预备费PF=PF1+PF2=83.52+142.70=226.22(万元)。

猜你喜欢

发表评论
更多 网友评论0 条评论)
暂无评论

访问排行

Copyright © 2012-2014 恰考网 Inc. 保留所有权利。 Powered by tikuer.com

页面耗时0.0327秒, 内存占用1.03 MB, Cache:redis,访问数据库19次