某项目建设前期年限为1年,建设期为3年,各年计划投资额如下:第一年静态投资1000万元,第二年1000万元,第三年500万元,年均投资价格上涨率为5%,则...

作者: rantiku 人气: - 评论: 0
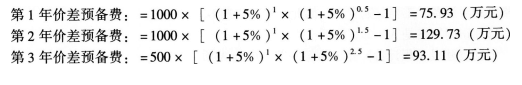
问题 某项目建设前期年限为1年,建设期为3年,各年计划投资额如下:第一年静态投资1000万元,第二年1000万元,第三年500万元,年均投资价格上涨率为5%,则该项目的价差预备费为(  )万元。
选项 A.165.49 B.231.31 C.298.77 D.367.88
答案 C
解析 计算过程如下: 项目的价差预备费合计为:298.77万元。

猜你喜欢

发表评论
更多 网友评论0 条评论)
暂无评论

访问排行

Copyright © 2012-2014 恰考网 Inc. 保留所有权利。 Powered by tikuer.com

页面耗时0.0368秒, 内存占用1.03 MB, Cache:redis,访问数据库14次