某工程投资中,设备、建筑安装和工程建设其他费用分别为500万元、900万元和300万元,基本预备费率为8%。投资建设期两年,各年投资额相等。预计年均投资价...

作者: rantiku 人气: - 评论: 0
问题 某工程投资中,设备、建筑安装和工程建设其他费用分别为500万元、900万元和300万元,基本预备费率为8%。投资建设期两年,各年投资额相等。预计年均投资价格上涨4%,则该工程的涨价预备费为(  )万元。
选项 A.167.75 B.152.50 C.111.63 D.52.50
答案 C
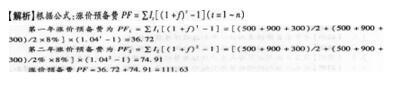
解析

猜你喜欢

发表评论
更多 网友评论0 条评论)
暂无评论

访问排行

Copyright © 2012-2014 恰考网 Inc. 保留所有权利。 Powered by tikuer.com

页面耗时0.0307秒, 内存占用1.03 MB, Cache:redis,访问数据库18次