假设某企业每年需要某种小五金1000件,每件的订货成本为5元,每件物资的年保管费率为2%,每件产品的单价为50元,订货提前期为10天,该企业的工作日每年为...

作者: rantiku 人气: - 评论: 0
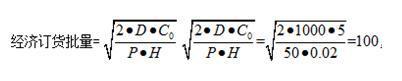
问题 假设某企业每年需要某种小五金1000件,每件的订货成本为5元,每件物资的年保管费率为2%,每件产品的单价为50元,订货提前期为10天,该企业的工作日每年为300天。 根据以上材料,回答72-76题; 根据经济订货批量模型,该企业的经济订货批量为( )件。
选项 A、200 B、300 C、100 D、150
答案 C
解析

猜你喜欢

发表评论
更多 网友评论0 条评论)
暂无评论

访问排行

Copyright © 2012-2014 恰考网 Inc. 保留所有权利。 Powered by tikuer.com

页面耗时0.0674秒, 内存占用1.03 MB, Cache:redis,访问数据库18次